研究生教育

首页 > 人才培养 > 研究生教育 > 正文
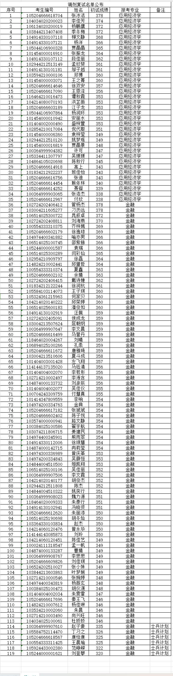
【调剂名单】1066vip威尼斯2024 年硕士研究生调剂复试名单
作者:1066vip威尼斯  编辑:张琴   发布时间:2024-04-10  发布来源:1066vip威尼斯    浏览次数:


版权所有:Copyright @ 2016 All Rights Reserved. 1066vip威尼斯(中国)有限公司

地址:湖北省武汉市江夏区阳光大道1号 邮编:430200 电话:027-59367570